Guide de dimensionnement pour linteau béton : Dosage / Armature / détails de mise en œuvre. Ce dossier est ouvert à comité de lecture et nous vous invitons à participer via le mail de la rédaction. Attention, il s’agit d’un modèle très simplifié et nous invitons le lecteur à adapter les calculs de dimensionnement en fonction des besoins réels de son chantier.
Dimensionnement d’un linteau en béton armé : principes, calculs et recommandations
Le linteau est un élément structurel horizontal placé au-dessus d’une ouverture (porte, fenêtre, baie) afin de reprendre les charges supérieures et les transmettre vers les murs porteurs. Un bon dimensionnement est indispensable pour assurer la stabilité structurelle et la sécurité de l’ouvrage. Le calcul d’un linteau en béton armé se base sur les règles de l’Eurocode 2 (ou BAEL dans certains contextes), incluant les notions d’état limite ultime (ELU) et d’état limite de service (ELS). Pour mieux appréhender les notion d’ELU et ELS, je vous renvoie à la définition sur Wikipédia.
- Lire mon article « tronc commun » sur le linteau.
- Consulter mon dossier technique : Comment couler un linteau ?
Rôle et sollicitation du linteau
Un linteau est soumis principalement à :
- Flexion due à la charge verticale des planchers, murs supérieurs ou toitures.
- Effort tranchant (cisaillement) aux appuis.
- Déformations liées à la flèche et au retrait du béton.
Le linteau travaille donc comme une poutre simplement appuyée.
Choix des dimensions du linteau
La hauteur et la largeur sont souvent contraintes par le mur et l’architecture. Pour la largeur par exemple, il est communément admis qu’elle sera identique à celle de l’appareillage. Autrement dit si vous construisez en parpaing de 20 centimètres, votre linteau sera également d’une largeur de 20 centimètres.
Dimensions usuelles (courantes en habitat individuel) :
- Épaisseur égale à l’épaisseur du mur (20, 25 ou 30 cm)
- Hauteur comprise entre L/10 et L/20, où L est la portée (en m)
| Portée (m) | Hauteur (cm) | Largeur (cm) | Ferraillage proposé | Remarques |
|---|---|---|---|---|
| 1.5 | 20 | 20 | 2 × HA10 (en bas) + 2 × HA8 (en haut) | Usage courant, charges modérées. |
| 2.0 | 30 | 20 | 4 × HA10 (en bas) + 2 × HA8 (en haut) | Portée fréquente pour ouvertures standards. |
| 3.0 | 35 | 25 | 4 × HA12 (en bas) + 2 × HA10 (en haut) | Portée importante / vérifier charges et flèche admissible. |
Calcul de la charge appliquée
La charge totale q (kN/m) est la somme :
- Du poids propre du linteau.
- Du poids du mur au-dessus (souvent calculé sur une hauteur de 45 à 60 cm lorsqu’il s’agit d’un mur en sablière).
- Des charges de plancher ou toiture (si appuyés au-dessus).
Poids propre du béton ≈ 25 kN/m³.
NOTA : Si l’ouverture se situe sur un pignon, la charge appliquée au linteau sera évidemment plus conséquente ! Il s’agit ici d’un simple linteau sous la ceinture d’une maison de plain pied. Dans de nombreux cas, la ceinture elle-même fait « quasi » office de linteau.
Exemple simplifié
Linteau de 2,00 m de portée, section 20×30 cm.
- Poids propre : ( PP = 0,20 × 0,30 × 25 = 1,5 kN/m )
- Mur en blocs béton densité ~ 15 kN/m³, hauteur reprise 0,50 m: ( Mur = 0,20 × 0,50 × 15 = 1,5 kN/m )
- Charge totale linéique : ( q = 1,5 + 1,5 = 3 kN/m )
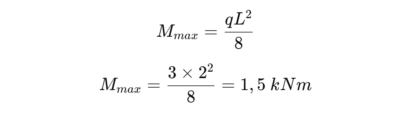
Calcul du moment fléchissant maximal
Pour une poutre simplement appuyée :
- [ M_{max} = \frac{qL^{2}}{8} ]
- [ M_{max} = \frac{3×2^{2}}{8} = 1,5\ kNm ]
Ferraillage du linteau béton
La section d’acier nécessaire s’obtient par :
- [ A_s = \frac{M}{z \cdot f_{yd}} ]
où :
- ( z ≈ 0,9d ) (d = hauteur utile ≈ hauteur totale – enrobage – diamètre armature)
- ( f_{yd} = \frac{f_{yk}}{\gamma_s} ) (acier HA Fe500 : ( f_{yd} ≈ 435 MPa ))
Pour un linteau 20×30, hauteur utile d ≈ 26 cm → z ≈ 23 cm.
[ A_s ≈ \frac{1,5×10^{6}}{230 × 435} ≈ 14,9 mm^2 ]
La valeur est très faible → un ferraillage minimum réglementaire s’impose.
Ferraillage recommandé (usuel) pour le dimensionnement du linteau béton
- Tension (bas) : 2 HA 12 ou 4 HA 10
- Compression (haut, anti fissuration) : 2 HA 8
- Cadres (étriers) : HA 6 tous les 15 – 20 cm
- Enrobage min. : 2,5 cm (extérieur) et 3,5 cm zone agressive / On préfèrera 3.5 centimètres.
| Élément | Disposition | Espacement | Remarques / sismique |
|---|---|---|---|
| Barres basses (armature de flexion) | 4 × HA10 ou 2–4 × HA12 selon portée | — | Doivent assurer la résistance en traction en bas du linteau. |
| Barres hautes (contre flexion) | 2 × HA8–HA10 | — | Positionnées près du nu supérieur pour fissuration de compression. |
| Étriers | HA6 (Ø6) fermés | 150 mm (standard), 100 mm aux appuis | Renforcement contre cisaillement et confinement (important en zones sismiques). |
| Ancrage / recouvrement | Recouvrement selon diamètre (généralement 40 × Ø pour aciers lisses/habituels) | — | En sismique, prévoir crochets et ancrages renforcés; respecter normes locales. |
| Enrobage minimal | — | ≥ 25 mm | Protège contre corrosion et garantit adhérence. |
Chaînage et continuité parasismique
En zone sismique, les linteaux doivent être intégrés dans le système de chaînage continu du bâtiment :
- Connexion aux poteaux ou chaînages verticaux
- Liaison avec la ceinture supérieure du plancher
- Étriers resserrés en abouts (5 à 10 cm)
Pour l’eurocode sismique / EC8 impose :
- Ductilité accrue
- Diamètre minimal HA 10 pour armature principale
- Espacement des cadres ≤ 10 cm aux appuis
Consulter le guide des règles de constructions parasismiques EUROCODE 8. Format PDF / Ministère de l’aménagement du territoire.
Dosage du béton
Le linteau doit être coulé en béton C25/30 minimum. Nous avons déjà très largement évoqué le sujet mais il est bon d’en retrouver les détails. Pour ne pas surcharger le présent dossier, nous vous invitons à découvrir ou redécouvrir notre article dédié au dosage :
Lire mon dossier général sur le dosage du béton
- Ciment / Quantité par m3 : 350 kg
- Sable 0/4 / Quantité par m3 : 0,5 m³
- Gravier 4/20 / Quantité par m3 : 0,8 m³
- Eau / Quantité par m3 :175 L (ajuster selon consistance)
Compactage vibré indispensable. Il s’agit d’obtenir un parfait enrobage des aciers et éviter au maximum la ségrégation du béton dans le coffrage.
Exemple de linteau type (résumé pratique)
Pour une portée de 2,00 m : (Ouverture courante pour une porte fenêtre par exemple)
- Section : 20 x 30 cm
- Ferraillage bas : 4 HA 10
- Ferraillage haut : 2 HA 8
- Étriers : HA 6 tous les 15 cm, resserrés tous les 10 cm aux appuis
- Béton : C25/30 vibré
- Chaînage continu dans murs
Fiche récapitulative
| Rubrique | Détails |
|---|---|
| Dimensions usuelles | Largeur = épaisseur du mur (généralement 200–300 mm). Hauteur approximative (flèche de linteau) ≈ L/10 à L/20 selon charges et type (L = portée). |
| Béton | Classe recommandée : C25/30 pour linteaux standards. Compactage vibré recommandé. Enrobage minimal ≥ 25 mm (2,5 cm) pour armatures. |
| Ferraillage type (exemples) | Voir tableau « Ferraillage type » pour détails par portée. Étriers tous les 150 mm, resserrés à 100 mm aux appuis. |
| Chaînage / sismique | Chaînage continu si exigé par la réglementation locale, armatures d’ancrage prolongées dans les appuis, vérification selon zone sismique et Eurocode/NTC locaux. |
Synthèse
Cette image présente un calcul de moment maximal (M_{\max}) dans le domaine de la mécanique ou de la résistance des matériaux, très probablement pour une poutre simplement appuyée soumise à une charge uniformément répartie.
Voici l’interprétation détaillée :
📐 Interprétation du Calcul
Formule Générale
- M_{\max} : Représente le Moment Fléchissant Maximal. C’est le moment le plus important que la poutre subit.
- q : Représente la charge uniformément répartie (charge par unité de longueur) appliquée sur la poutre. Son unité typique serait \text{kN/m} ou \text{N/m}.
- L : Représente la Portée ou la longueur de la poutre.
- \frac{1}{8} : Le coefficient qui dérive de l’intégration pour ce cas de charge et d’appui spécifique (poutre simplement appuyée avec charge uniforme q).
Application Numérique
- q (Charge) : La valeur numérique utilisée pour la charge uniformément répartie (q) est 3. (Très probablement 3 \text{ kN/m}).
- L (Portée) : La valeur numérique utilisée pour la portée (L) est 2. (Très probablement 2 \text{ m}).
- Résultat : Le Moment Maximal calculé est 1,5 \text{ kNm} (kilo-Newton-mètre). \text{kNm} est l’unité standard pour les moments fléchissants en génie civil/mécanique.
En résumé, l’image montre le calcul du moment maximal pour une poutre de 2 mètres de long soumise à une charge uniforme de 3 \text{ kN/m}, donnant un moment de 1,5 \text{ kNm}.
Exercice pratique
Pour calculer le moment fléchissant maximal (M_{\text{max}}) de votre linteau, nous allons suivre les étapes suivantes :
- Déterminer la portée de calcul (L) : La longueur théorique de la poutre.
- Estimer la charge standard (q) : Déterminer la charge uniformément répartie qui s’applique.
- Calculer le Moment Fléchissant Maximal (M_{\text{max}}).
1. Détermination des données :
A. Longueur de calcul (L)
La longueur totale de votre linteau est 2 \text{ m}. Un linteau doit reposer sur les murs de chaque côté. Pour une portée de 1.60 \text{ m} à 1.80 \text{ m}, on prévoit généralement un appui minimum de 20 \text{ cm} de chaque côté.
- Portée libre (largeur de l’ouverture) : Supposons L_{\text{libre}} = 1.60 \text{ m} (avec 2 \times 0.20 \text{ m} d’appui, on obtient bien 2.00 \text{ m} de longueur totale).
- Longueur de calcul (L) : C’est la distance entre les centres des appuis, que l’on simplifie souvent par la portée libre majorée des appuis, ou plus simplement la portée libre. Pour cet exemple, prenons la portée libre : L = 1.60 \text{ m}.
B. Estimation de la charge (q)
La charge sur un linteau de mur porteur est généralement considérée comme une charge uniformément répartie (q). Elle provient du poids du mur, des planchers, et de la toiture au-dessus.
> Simplification courante pour le linteau : La charge transmise par un mur au-dessus d’une ouverture est souvent assimilée au poids d’un triangle de maçonnerie situé au-dessus de l’ouverture (avec un angle de diffusion de la charge d’environ 45^\circ de chaque côté), mais pour simplifier le calcul du moment fléchissant avec la formule standard, nous allons utiliser une charge uniformément répartie équivalente.
>
Prenons une charge standard (typique) pour un mur en maçonnerie, y compris le poids propre du linteau, les finitions et une partie des charges d’exploitation, de :
q = 25 \text{ kN/m} (25 kilonewtons par mètre linéaire, soit environ 2.5 \text{ tonnes} par mètre).
2. Calcul du moment fléchissant maximal
Nous utilisons la formule pour une charge uniformément répartie sur deux appuis simples :
Application numérique :
- Calcul du carré de la portée : (1.60)^2 = 2.56 \text{ m}^2
- Multiplication par la charge : 25 \cdot 2.56 = 64 \text{ kN} \cdot \text{m}
- Division par 8 : M_{\text{max}} = \frac{64 \text{ kN} \cdot \text{m}}{8}
Conclusion
Pour votre linteau de 2 \text{ m} (avec une portée libre de 1.60 \text{ m}) soumis à une charge standard de 25 \text{ kN/m}, le moment fléchissant maximal au milieu de la portée est de :
Ce moment maximal est l’effort que les armatures inférieures du béton armé devront reprendre pour assurer la résistance du linteau.
Calculer la section d’acier (A_s) est l’étape essentielle du dimensionnement en béton armé.
Détermination de la Section d’Armatures (A_s) : Le but est de dimensionner l’armature en acier (A_s) pour qu’elle résiste au Moment Fléchissant Maximal (M_{\text{max}}) que nous avons calculé (8.0 \text{ kN}\cdot\text{m}).
1. Levier interne (z)
En béton armé, on considère que la traction est reprise par l’acier et la compression par le béton. Ces deux forces forment un couple séparé par un bras de levier interne, noté z. La force dans l’acier (F_s) multipliée par ce bras de levier (z) doit être égale au moment maximal :
Pour un calcul rapide et simplifié (méthode forfaitaire, souvent utilisée pour les faibles moments), on peut estimer le bras de levier z en fonction de la hauteur utile (d) de la poutre :
* d est la hauteur utile : la distance entre la fibre la plus comprimée (le haut de la poutre) et le centre de gravité des armatures tendues (le bas de la poutre).
2. Hypothèse sur la hauteur utile (d)
Pour continuer, nous devons choisir une dimension pour le linteau. Supposons :
- Largeur de la poutre (b) : 20 \text{ cm} (épaisseur du mur).
- Hauteur totale de la poutre (h) : 30 \text{ cm}. Avec un enrobage standard (distance entre la peau du béton et l’acier) de 3 \text{ cm} :
- Calcul du bras de levier : z = 0.9 \cdot 0.27 \text{ m} = 0.243 \text{ m}
3. Calcul de la section d’acier (A_s)
La force dans l’acier (F_s) est égale à la section d’acier (A_s) multipliée par la contrainte admissible de l’acier (\sigma_s).
En dimensionnement à l’état limite ultime (ELU), cette contrainte est la limite élastique de l’acier (f_{yk}) divisée par un coefficient de sécurité (\gamma_s). Pour l’acier courant (f_{yk} = 500 \text{ MPa} et \gamma_s = 1.15), la contrainte de calcul est :
En réarrangeant la formule M_{\text{max}} = F_s \cdot z :
- Application numérique : f_{sd} = 435 \text{ N/mm}^2 (\text{MPa})
- Conclusion : La section d’acier minimale nécessaire (A_s) pour reprendre le moment fléchissant de 8.0 \text{ kN}\cdot\text{m} est d’environ \mathbf{75.8 \text{ mm}^2}.
Choix des armatures :
Il faut maintenant choisir des barres de diamètre courant dont la section cumulée dépasse 75.8 \text{ mm}^2.
| Diamètre de barre (\phi) | Section unitaire (A) | Nombre de barres nécessaires |
|—|—|—|
| 6 \text{ mm} | 28 \text{ mm}^2 | 75.8 / 28 \approx 2.7 |
| 8 \text{ mm} | 50 \text{ mm}^2 | 75.8 / 50 \approx 1.5 |
En pratique, on choisirait donc 2 barres de 8 \text{ mm} de diamètre (A_s = 2 \times 50 \text{ mm}^2 = 100 \text{ mm}^2), ce qui est supérieur à la section calculée et conforme aux règles minimales de construction.
Conclusion
Le dimensionnement d’un linteau en béton armé repose sur une analyse de charges, un calcul de la flexion et un choix de ferraillage conforme aux réglementations. Les règles de l’Eurocode garantissent sécurité et durabilité, tandis que les prescriptions parasismiques assurent une bonne tenue de l’ouvrage dans les zones à risques.
Une exécution soignée (coffrage stable, enrobage respecté, béton vibré) est aussi importante que le calcul.
Merci pour vos lectures et bon chantier.
Serge USTUN.





